Ir para o conteúdo Ciências Contábeis Ir para o menu Ciências Contábeis Ir para a busca no site Ciências Contábeis Ir para o rodapé Ciências Contábeis
  • International
  • Acessibilidade
  • Sítios da UFSM
  • Área restrita

Aviso de Conectividade Saber Mais

Início do conteúdo

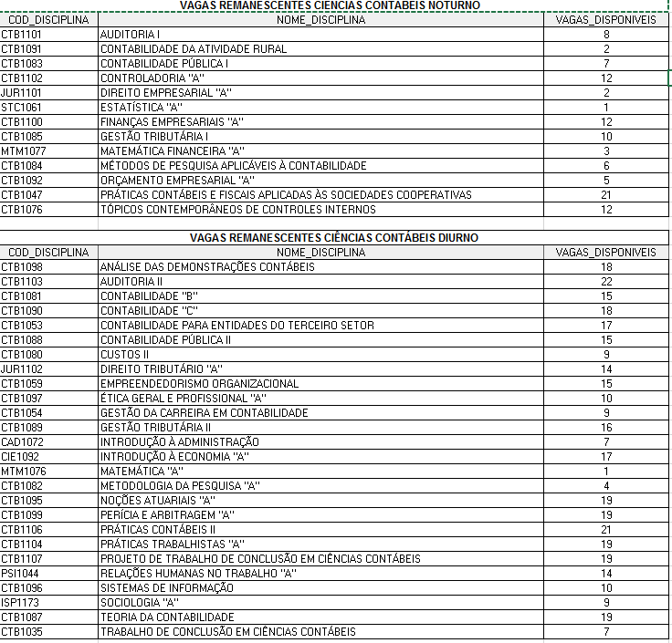
VAGAS REMANESCENTES PARA ALUNOS DE OUTROS CURSOS 2018-2



As matrículas nestas vagas serão realizada na segunda e terça,13/08/18 e 14/08/18, a partir das 13h, na Coordenação do Curso, por ordem de chegada.  

Para solicitar a matrícula o aluno deve trazer o formulário preenchido e assinado pelo seu Coordenador e  conforme RESOLUÇÃO N. 015/99,

devem estar matriculados em pelo menos 180h no Curso de origem.

VAGAS REMANESCENTES

Divulgue este conteúdo:
https://ufsm.br/r-477-1431

Publicações Relacionadas

Publicações Recentes